上海微系统所牟刚博士应邀发表铁基超导单晶制备和物性研究综述文章
中科院超导电子学卓越创新中心、信息功能材料国家重点实验室牟刚等人,应邀在《物理学报》发表题为“铁基超导1111体系CaFeAsF的单晶生长和物性研究”的综述文章[Acta Phys. Sin. 67, 177401 (2018)],并入选当期优秀论文获得重点推荐。
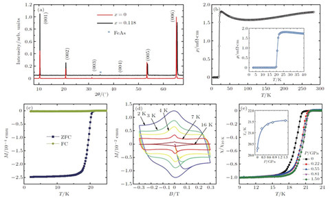
自2008年发现以来,人们对铁基高温超导材料探索和物理性质开展了广泛而深入的研究。其中最早发现的1111材料体系,临界转变温度最高。然而该体系长期以来一直缺乏高质量大尺寸单晶,相关物理问题的深入研究受到严重制约。近年,牟刚博士领导的研究团队在氟基1111体系材料——CaFeAsF单晶生长领域取得重大突破:以CaAs作为助熔剂,在常压下成功制备毫米尺寸高质量的CaFeAsF母体及Co掺杂的超导单晶。随后与国内外多个研究组合作,运用不同实验手段取得一系列重要研究结果,涵盖超导上临界场各向异性,强场下的磁阻、磁力矩,红外光谱,高压调控,量子振荡等内容。鉴于微系统所团队对该领域做出的一系列突出贡献,近期《物理学报》杂志邀请牟刚为其“青年科学评述”栏目撰写综述论文,详细阐述了这方面的研究进展和未来趋势。
《物理学报》由中国物理学会和中国科学院物理研究所主办,是我国最早创刊的物理类学术期刊,在我国学术期刊中有着重要地位和影响,被SCI,Scopus,CA,INSPEC,EI,JICST,AJ和MR等国际检索系统收录。“青年科学评述”是该杂志新开设的栏目,牟刚等人撰写的文章是该栏目的开篇之作,并入选当期优秀论文,在期刊网页重点推荐。
该系列工作受到中国科学院青年创新促进会(2015187)和国家自然科学基金(11204338)的支持。
原文链接:http://wulixb.iphy.ac.cn/CN/10.7498/aps.67.20181371

“Co掺杂的CaFeAsF单晶的结构和基本物理性质表征”


